セルフェンダーのウェイトチェーンの設計
現在地: ホームページ » ニュース » セルフェンダーのウェイトチェーンの設計

セルフェンダーのウェイトチェーンの設計

数ブラウズ:0     著者:サイトエディタ     公開された: 2022-06-01      起源:パワード

お問い合わせ

facebook sharing button
twitter sharing button
line sharing button
wechat sharing button
linkedin sharing button
pinterest sharing button
whatsapp sharing button
sharethis sharing button

のウェイトチェーンの設計 セルフェンダー

要約:この論文では、セルフェンダーのウェイトチェーンの設計手順について説明します。ウェイトチェーンの選択とレイアウト、ウェイトチェーンの張力の計算方法など。

キーワード: ラバーフェンダー, フロントフレーム、ウェイトチェーン、ラバーフレックスチェーン、ウェイトチェーンの張り


セルタイプのラバーフェンダーシステムは、主にセルタイプのラバーフェンダー本体と耐衝撃プレートで構成されています。インパクトプレートは、ゴムフェンダーの前端に取り付けられ、船の衝撃に耐えるために使用される鉄骨構造の付属品であり、ゴムフェンダーと船との接触面積を増やして、船のゴムフェンダーの表面圧力を低減します。通常の状態では、セルラバーフェンダー自体がインパクトプレートの重量を支えることができます。ただし、耐衝撃板の重量が表Iの許容静荷重を超える場合、またはゴムフェンダーの仕様が2000Hを超える場合は、以下に示すように、ゴムフェンダーシステムが正常に動作するように重力チェーンを取り付ける必要があります。図I。

図I

ウェイトチェーンのレイアウト

ウェイトチェーンは通常、インパクトプレートの重力下でセルタイプのラバーフェンダーシリンダーに配置され、ラバーフェンダーの一端は両側にあり、チェーンの一端はインパクトプレートに固定され、他端はに固定されています。図Iに示すように、海岸の壁

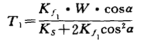
ウェイトチェーンの張力計算

T = T1 + T2

設定

W:インパクトプレートの重量

Ks:フェンダーのせん断弾性係数

Kf:ゴムばねチェーンの弾性係数

α :ラバースプリングチェーンとZ軸の間の角度

β :ラバースプリングチェーンとX軸の間の角度



ニュースレターを購読する

新製品と今後の販売に関する最新のアップデートを入手する
China Marine Rubber(Qingdao)Industrial Co.、Ltd(CMR)は、中国における船舶用ゴムフェンダーとエンジニアリングゴム製品の専門メーカーです。

クイックリンク

製品

お問い合わせ

 :+ 86-18766396886
 :+ 86-13953283589
 : Info@cmrqd.com
 :中国青島市膠州市膠北工業地帯
Copyright©2022ChinaMarine Rubber(Qingdao)Industrial Co.、Ltd。 サイトマップ |鲁ICP表2022012721号 |によるテクノロジーLeadong.com